728x90
    
    
  반응형
    
    
    
  

문제 제목: 이진 트리 순회(깊이 우선 탐색)

개념
- 전위 순회 방식: 함수 출력시 부모 -> 왼쪽 자식 -> 오른쪽 자식 순서로 출력
- 중위 순회 방식: 함수 출력시 왼쪽 자식 -> 부모 -> 오른쪽 자식 순서로 출력
- 후위 순회 방식: 함수 출력시 왼쪽 자식 -> 오른쪽 자식 - >부모 순서로 출력


1. 전위 순회 방식
함수 출력시 부모 -> 왼쪽 자식 -> 오른쪽 자식 순서로 출력
def DFS(v):
    if v>7:
        return
    else:  
        print(v, end=' ')
        DFS(v*2)
        DFS(v*2+1)
        
if __name__=="__main__":
    DFS(1)2. 중위 순회 방식
함수 출력시 왼쪽 자식 -> 부모 -> 오른쪽 자식 순서로 출력
def DFS(v):
    if v>7:
        return
    else:  
        DFS(v*2)
        print(v, end=' ')
        DFS(v*2+1)
        
if __name__=="__main__":
    DFS(1)
3. 후위 순회 방식
함수 출력시 왼쪽 자식 -> 오른쪽 자식 - >부모 순서로 출력
def DFS(v):
    if v>7:
        return
    else:  
        DFS(v*2)
        DFS(v*2+1)
        print(v, end=' ')
        
if __name__=="__main__":
    DFS(1)대표적으로 병합정렬이 있음
왼쪽 자식 처리 후 오른쪽 자식 처리 후 부모(본인) 처리


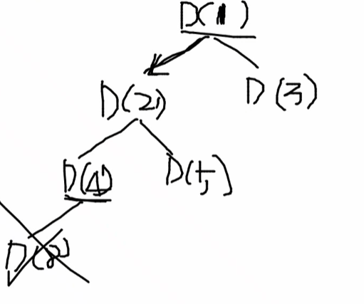
이제 더이상 더 갈 수가 없으니 DFS(4)는 pop되어 반환됨 그리고나서 D(5) 순회

※ 알아야 할 것
- 재귀함수는 모두 DFS라고 칭함.
- 링크 게시글을 모두 이해했으면 쉽게 이 글도 이해할 수 있을 것임
https://sillon-coding.tistory.com/211
[자료구조] 재귀 함수와 스택 / 파이썬 Python
정보들이 다 기록되며 진행된다. DFS(3)을 호출하면 Stack에 해당 내용이 저장이됨 호출되는 순간 DFS(2)가 호출됨 그리고 해당 x=2에대한 내용이 Stack에 새로 할당되어 저장이됨 그럼 이제 DFS(1)함수
sillon-coding.tistory.com
728x90
    
    
  반응형
    
    
    
  'coding test - python > 기본기 문제' 카테고리의 다른 글
| 문제 / 합이 같은 부분집합(DFS) / Python 파이썬 (0) | 2022.08.05 | 
|---|---|
| 문제 / 부분집합 구하기 (DFS) / Python 파이썬 (0) | 2022.08.03 | 
| 문제 / 재귀 함수를 이용한 이진수 출력 / Python 파이썬 (0) | 2022.08.03 | 
| 문제 / 회의실 배정 (그리디) / Python 파이썬 (0) | 2022.08.02 | 
| 문제 / 최대힙 / Python 파이썬 (0) | 2022.07.29 |