*문제 출처는 프로그래머스에 있습니다.

문제 제목: 배달 (2단계)
문제 사이트: https://school.programmers.co.kr/learn/courses/30/lessons/12978
프로그래머스
코드 중심의 개발자 채용. 스택 기반의 포지션 매칭. 프로그래머스의 개발자 맞춤형 프로필을 등록하고, 나와 기술 궁합이 잘 맞는 기업들을 매칭 받으세요.
programmers.co.kr
문제 설명
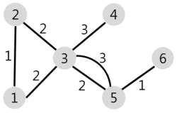
N개의 마을로 이루어진 나라가 있습니다. 이 나라의 각 마을에는 1부터 N까지의 번호가 각각 하나씩 부여되어 있습니다. 각 마을은 양방향으로 통행할 수 있는 도로로 연결되어 있는데, 서로 다른 마을 간에 이동할 때는 이 도로를 지나야 합니다. 도로를 지날 때 걸리는 시간은 도로별로 다릅니다. 현재 1번 마을에 있는 음식점에서 각 마을로 음식 배달을 하려고 합니다. 각 마을로부터 음식 주문을 받으려고 하는데, N개의 마을 중에서 K 시간 이하로 배달이 가능한 마을에서만 주문을 받으려고 합니다. 다음은 N = 5, K = 3인 경우의 예시입니다.

위 그림에서 1번 마을에 있는 음식점은 [1, 2, 4, 5] 번 마을까지는 3 이하의 시간에 배달할 수 있습니다. 그러나 3번 마을까지는 3시간 이내로 배달할 수 있는 경로가 없으므로 3번 마을에서는 주문을 받지 않습니다. 따라서 1번 마을에 있는 음식점이 배달 주문을 받을 수 있는 마을은 4개가 됩니다.
마을의 개수 N, 각 마을을 연결하는 도로의 정보 road, 음식 배달이 가능한 시간 K가 매개변수로 주어질 때, 음식 주문을 받을 수 있는 마을의 개수를 return 하도록 solution 함수를 완성해주세요.
- 마을의 개수 N은 1 이상 50 이하의 자연수입니다.
- road의 길이(도로 정보의 개수)는 1 이상 2,000 이하입니다.
- road의 각 원소는 마을을 연결하고 있는 각 도로의 정보를 나타냅니다.
- road는 길이가 3인 배열이며, 순서대로 (a, b, c)를 나타냅니다.
- a, b(1 ≤ a, b ≤ N, a != b)는 도로가 연결하는 두 마을의 번호이며, c(1 ≤ c ≤ 10,000, c는 자연수)는 도로를 지나는데 걸리는 시간입니다.
- 두 마을 a, b를 연결하는 도로는 여러 개가 있을 수 있습니다.
- 한 도로의 정보가 여러 번 중복해서 주어지지 않습니다.
- K는 음식 배달이 가능한 시간을 나타내며, 1 이상 500,000 이하입니다.
- 임의의 두 마을간에 항상 이동 가능한 경로가 존재합니다.
- 1번 마을에 있는 음식점이 K 이하의 시간에 배달이 가능한 마을의 개수를 return 하면 됩니다.
입출력 예NroadKresult
| 5 | [[1,2,1],[2,3,3],[5,2,2],[1,4,2],[5,3,1],[5,4,2]] | 3 | 4 |
| 6 | [[1,2,1],[1,3,2],[2,3,2],[3,4,3],[3,5,2],[3,5,3],[5,6,1]] | 4 | 4 |
입출력 예 #1
문제의 예시와 같습니다.
입출력 예 #2
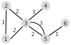
주어진 마을과 도로의 모양은 아래 그림과 같습니다.

1번 마을에서 배달에 4시간 이하가 걸리는 마을은 [1, 2, 3, 5] 4개이므로 4를 return 합니다.
나의 풀이
def solution(N, road, K):
answer = 0
maps = [[5000000 for i in range(N)]for ii in range(N)]
for node in road:
maps[node[0]-1][node[1]-1] = min(maps[node[0]-1][node[1]-1],node[2])
maps[node[1]-1][node[0]-1] = min(maps[node[1]-1][node[0]-1],node[2])
for k in range(N):
for i in range(N):
for j in range(N):
maps[i][j] = min(maps[i][j],maps[i][k] + maps[k][j])
for i in range(N):
maps[i][i] = 0
for i in range(N):
if maps[0][i] <= K:
answer += 1
return answer

※ 알아야 할 것
https://sillon-coding.tistory.com/428
[알고리즘] 플로이드 워샬 VS 다익스트라 차이점 - 최단 경로 알고리즘
다익스트라 알고리즘은 한 지점에서 다른 모든 지점까지의 최단 경로를 계산하는 알고리즘이다. 플로이드 워셜 알고리즘은 모든 지점에서 다른 모든 지점까지의 최단 경로를 계산하는 알고리
sillon-coding.tistory.com
'coding test - python > Programmers' 카테고리의 다른 글
| Programmers / 인사고과 / Python 파이썬 (0) | 2023.02.03 |
|---|---|
| Programmers / 순위 / Python 파이썬 (0) | 2023.01.31 |
| Programmers / 합승택시요금 - 플로이드 워샬 알고리즘 / Python 파이썬 (1) | 2023.01.27 |
| Programmers / 섬 연결하기 / Python 파이썬 (0) | 2023.01.20 |
| Programmers / [카카오 인턴] 보석 쇼핑 / Python 파이썬 (1) | 2023.01.19 |